考研数学:高阶导数必备公式
发布时间:2021-11-14 16:32:53
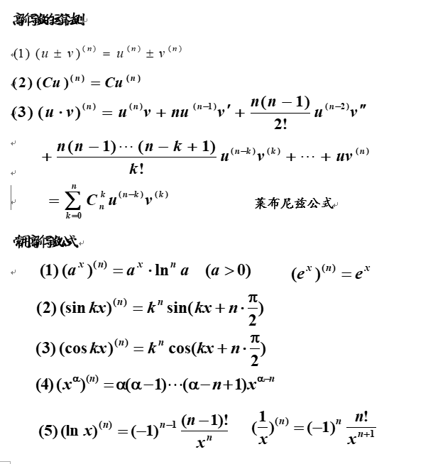
2022年考研已经进入最后冲刺阶段,建议同学们把该背的数学公式再熟悉熟悉,要记牢记对。下面总结了考研数学常见高阶导数8个公式,希望对考研的同学们有所帮助。

本文由培训无忧网北京新祥旭考研专属课程顾问老师整理发布,更多相关课程请关注培训无忧网考研培训或添加老师微信:15033336050
以上文章由北京新祥旭考研课程顾问整理编辑发布,部分文章来自网络内容真实性请自行核实或联系我们,了解相关专业课程信息您可在线咨询也可免费申请试课。关注官方微信了解更多:150 3333 6050