咨询热线 400-001-5729

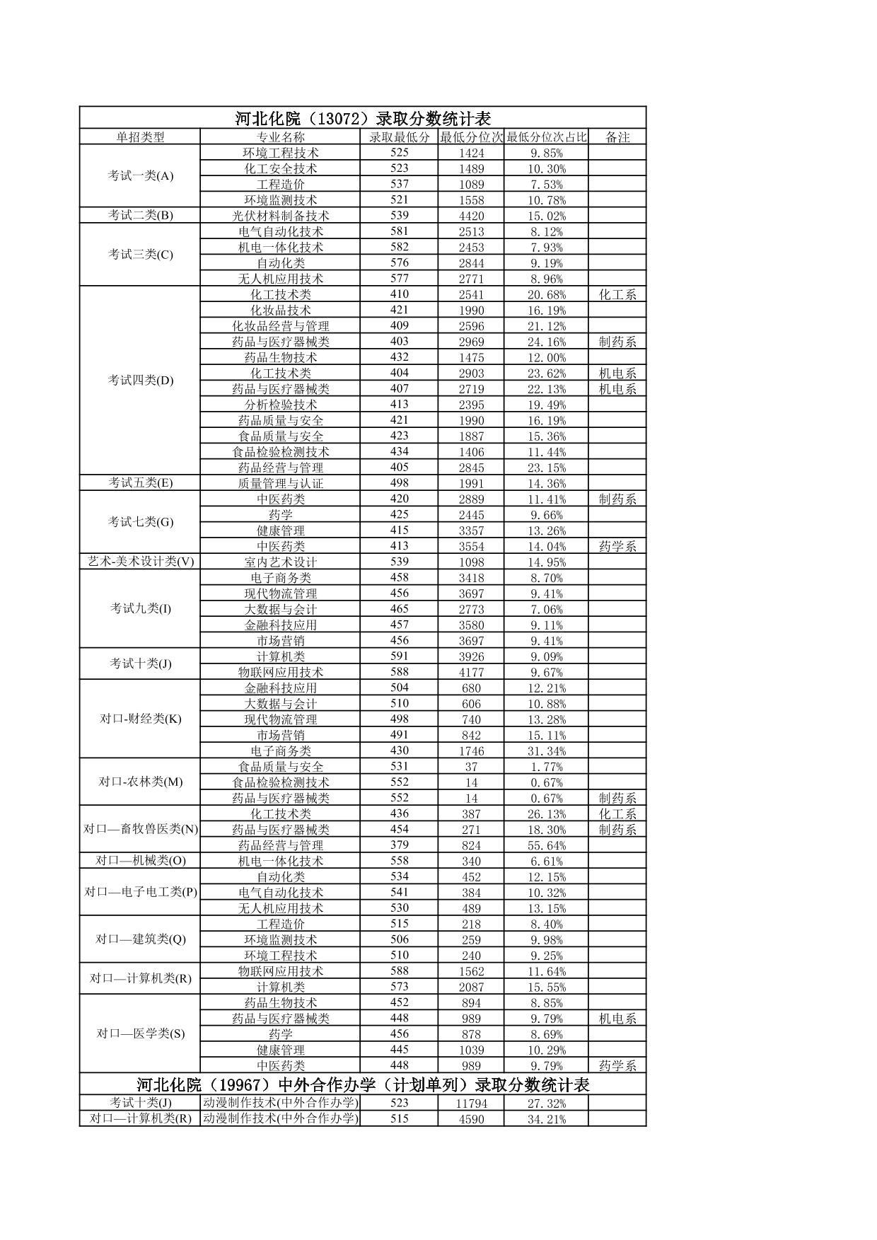
河北化工医药职业技术学院2023年高职单招录取分数统计表

发布时间:2024-01-21 10:45:46

河北化工医药职业技术学院2023年高职单招录取分数统计表

河北化工医药职业技术学院2023年高职单招录取分数统计表

河北化工医药职业技术学院2023年高职单招录取分数统计表

以上文章由河北高职单招培训中心课程顾问整理编辑发布,部分文章来自网络内容真实性请自行核实或联系我们,了解相关专业课程信息您可在线咨询也可免费申请试课。关注官方微信了解更多:150 3333 6050

免 费 申 请 试 课