欢迎来到培训无忧网!

全国切换

咨询热线 400-001-5729

位置:培训无忧网 > 新闻资讯 > 考研考博 > 考研 >  云南大学考研报录比2023

云南大学考研报录比2023

来源:培训无忧网 发布人:木木

2023-10-07 14:37:43|已浏览:1033次

云南大学考研报录比2023
      考研报录比是报考人数和录取人数的一个比例,通过报录比我们可以看出各专业的竞争大小、上岸难度,进而决定是否应该报考。下面是云南大学考研报录比2023的相关内容,供大家参考。

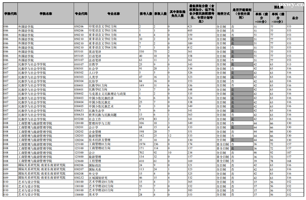
      云南大学2023年硕士研究生报名及录取情况统计表

云南大学考研报录比2023

云南大学考研报录比2023

云南大学考研报录比2023

云南大学考研报录比2023

云南大学考研报录比2023

云南大学考研报录比2023

云南大学考研报录比2023

      注:尊重原创文章,转载请注明出处和链接 https://www.pxwy.cn/news-id-80085.html 违者必究!部分文章来源于网络由培训无忧网编辑部人员整理发布,内容真实性请自行核实或联系我们,了解更多相关资讯请关注考研频道查看更多,了解相关专业课程信息您可在线咨询也可免费申请试课。关注官方微信了解更多:150 3333 6050

留下你的信息,课程顾问老师会一对一帮助你规划更适合你的专业课程!
  • 姓名:

  • 手机:

  • 地区:

  • 想学什么:

  • 培训无忧网
免 费 申 请 试 听
提交申请,《培训无忧网》课程顾问老师会一对一帮助你规划更适合你的专业课程!