欢迎来到培训无忧网!

全国切换

咨询热线 400-001-5729

位置:培训无忧网 > 新闻资讯 > 考研考博 > 考研 >  苏州大学2023年硕士研究生各专业报名人数统计

苏州大学2023年硕士研究生各专业报名人数统计

来源:培训无忧网 发布人:木木

2023-10-09 15:25:31|已浏览:1553次

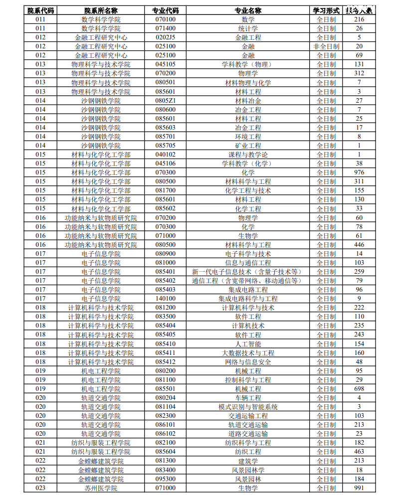
苏州大学2023年硕士研究生各专业报名人数

苏州大学2023年硕士研究生各专业报名人数

苏州大学2023年硕士研究生各专业报名人数

苏州大学2023年硕士研究生各专业报名人数

苏州大学2023年硕士研究生各专业报名人数

苏州大学2023年硕士研究生各专业报名人数

      注:尊重原创文章,转载请注明出处和链接 https://www.pxwy.cn/news-id-80132.html 违者必究!部分文章来源于网络由培训无忧网编辑部人员整理发布,内容真实性请自行核实或联系我们,了解更多相关资讯请关注考研频道查看更多,了解相关专业课程信息您可在线咨询也可免费申请试课。关注官方微信了解更多:150 3333 6050

留下你的信息,课程顾问老师会一对一帮助你规划更适合你的专业课程!
  • 姓名:

  • 手机:

  • 地区:

  • 想学什么:

  • 培训无忧网
免 费 申 请 试 听
提交申请,《培训无忧网》课程顾问老师会一对一帮助你规划更适合你的专业课程!